首页  管理机构  规章制度  学科建设  招生录取  教学教务  培养管理  学位学历  文件下载  导师风采  学生活动  关于我们 
当前位置: 首页>>学位学历>>学位信息>>正文
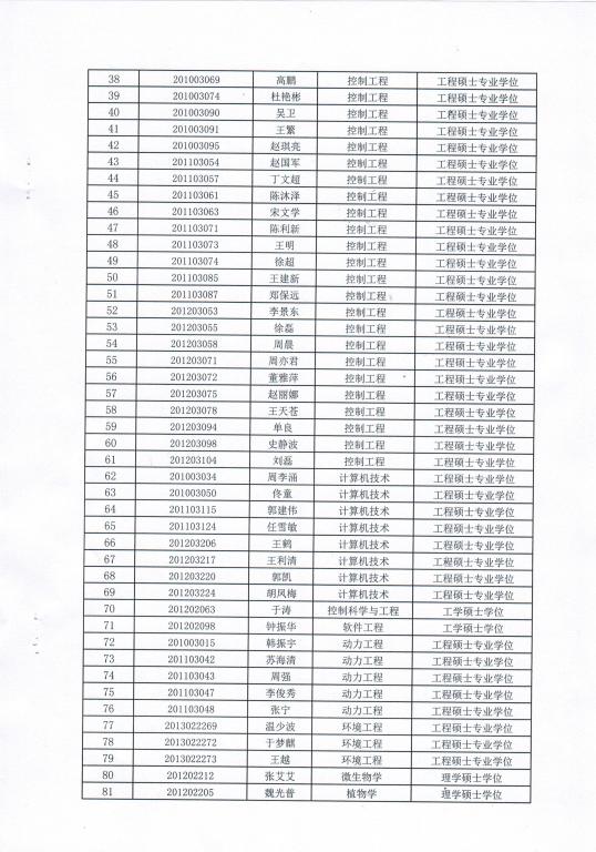
内蒙古科技大学关于授予于涛等81名研究生硕士学位的决定
2015-12-29 16:45     (点击: )

附件【内蒙古科技大学2015届授予硕士学位研究生名单.xlsx已下载
关闭窗口
研招办电话:0472-5951507  培养办电话:0472-5951508  综合办电话: 0472-5951883   学位办电话:0472-5954370  学科办电话:0472-5953153   传真:0472-5954370
  
地址:内蒙古包头市昆都仑区阿尔丁大街7号 邮编:014010        版权所有:内蒙古科技大学研
究生院(?2012)